搜索
金币充值液压资料下载官方微信群
查看: 11243|回复: 13

关于力士乐M4-15阀的建模问题

[复制链接]
发表于 2015-4-5 23:35:16 | 显示全部楼层 |阅读模式
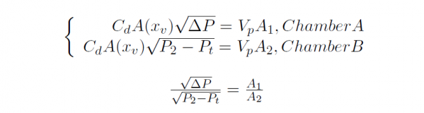
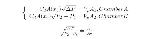
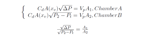
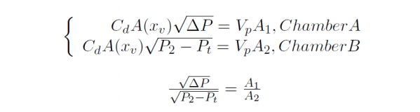
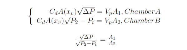
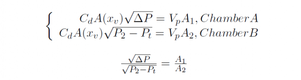
大家好,我最近在做力士乐M4-15阀的建模与控制。假设液压流量充足,带负载敏感;此M4-15阀只连一个液压缸,且无负载(仅有液压缸内部摩擦)。如果液压活塞向外运动,那么平衡时我的流量方程(假设油不可压缩)如图所示。
Cd是流量系数, A是阀的开口面积,deltaP 是 压力补偿阀的设定压强。Vp是活塞平衡时的速度。A1,A2分别是活塞两侧的面积。Pt 是油箱的压强(=0)。当活塞匀速运动时,上下两式子相除,我得到的结论是无论方向阀开口大小(A的值),P2在速度稳定时必然是恒定的。但是我通过实验去验证,实验结果截然不同。实验结果显示 P2 随着 方向阀开口面积的增大而增大。

请教各位前辈,是我的对于负载敏感阀的理解有问题还是我的实验结果有问题。 欢迎赐教!!!谢谢!

流量方程

流量方程

关于力士乐M4-15阀的建模问题

关于力士乐M4-15阀的建模问题

关于力士乐M4-15阀的建模问题

关于力士乐M4-15阀的建模问题
  • 打卡等级:无名新人
  • 打卡总天数:4
  • 打卡总奖励:8
发表于 2015-4-6 10:44:02 | 显示全部楼层
把实验数据贴出来参考一下
回复

使用道具 举报

  • 打卡等级:无名新人
  • 打卡总天数:4
  • 打卡总奖励:8
发表于 2015-4-6 12:07:43 | 显示全部楼层
假设流量系数是一致,并且开口形状一模一样,要消去这两个系数,也必须要求两个口是严格地同时打开,这样A(x)才能相同并消去。不然两个A(x)是不一样的

点评

多说一句,可***两个A(x)的x有一点点差值,然后看看他们值的比值,是否和实验趋势吻合  发表于 2015-4-6 12:12
回复

使用道具 举报

  • 打卡等级:偶尔看看
  • 打卡总天数:107
  • 打卡总奖励:341
发表于 2015-4-6 12:23:15 | 显示全部楼层
式1)中A(x)是补偿阀的开口面积,式2)中的A(x)对应的至少不是补偿阀的开口,两个不能简单相约

点评

按他列的式子推理,第一个A(x)应该是阀杆进口面积  发表于 2015-4-6 12:50
回复

使用道具 举报

 楼主| 发表于 2015-4-6 15:57:29 | 显示全部楼层
回复

使用道具 举报

 楼主| 发表于 2015-4-6 16:05:14 | 显示全部楼层
wawaadd 发表于 2015-4-6 12:07
假设流量系数是一致,并且开口形状一模一样,要消去这两个系数,也必须要求两个口是严格地同时打开,这样A( ...

我们的阀芯是对称阀芯,但是确实实际当中,两者开口未必完全一样。另外我们的M4的阀芯是有半圆槽的,所以开口面积与X并不是成比例的,而是非线性的关系。我不知如何取去求两个开口面积的比值,不知您有没有可行的方案。PS>如果两个开口面积的比值是恒定的话,稳定时,P2 也应该是恒定的。

点评

可尝试用3楼我的点评去做做看趋势,做模型的时候,给两个A(x)一个合理的x差值  发表于 2015-4-6 18:07
回复

使用道具 举报

 楼主| 发表于 2015-4-6 16:07:56 | 显示全部楼层
xijizhong 发表于 2015-4-6 12:23
式1)中A(x)是补偿阀的开口面积,式2)中的A(x)对应的至少不是补偿阀的开口,两个不能简单相约

wawaadd说的没错,我认为压力补偿阀两端的压差也就是方向阀两端的压差,所以我式子(1)等号左边表示的是方向阀的进口流量
回复

使用道具 举报

发表于 2015-4-10 13:04:06 | 显示全部楼层
马克先,有空再看
回复

使用道具 举报

  • 打卡等级:无名新人
  • 打卡总天数:1
  • 打卡总奖励:2
发表于 2017-3-7 12:39:40 | 显示全部楼层
楼主有M4模型么 求发一份QQ1571268687
回复

使用道具 举报

发表于 2017-3-8 09:28:21 | 显示全部楼层
同楼上一起求模型
回复

使用道具 举报

您需要登录后才可以回帖 登录 | 立即注册

本版积分规则