搜索
汉力达液压金币充值官方微信群液压资料下载
查看: 17660|回复: 13

AMESim阻尼孔计算公式

[复制链接]
  • 打卡等级:偶尔看看
  • 打卡总天数:105
  • 打卡总奖励:414
发表于 2016-8-4 10:25:38 | 显示全部楼层 |阅读模式
本帖最后由 xlykko 于 2016-8-4 10:27 编辑

最近想按照阻尼孔的计算公式设置一些参数,可是仿真的时候傻眼了,理论计算和仿真参数对不上。以下是我的参数设置,液压源流量,10L/min,阻尼孔直径4mm。比较了几种不同的阻尼孔建模方法,结果一样。可是结果和理论完全对不上啊。。。求指教,看看问题出哪里了?
阻尼孔计算公式参考:https://www.iyeya.cn/thread-22385-1-1.html

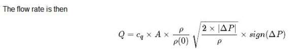
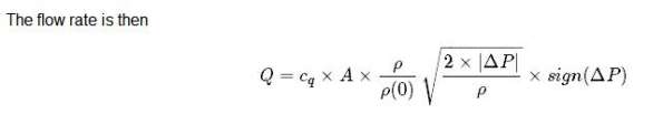
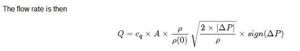
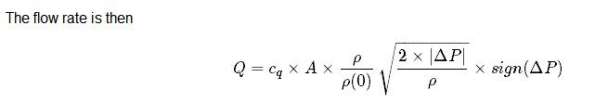
阻尼孔计算公式

阻尼孔计算公式

仿真结果

仿真结果

仿真模型

仿真模型
发表于 2016-8-4 19:44:19 | 显示全部楼层
流量系数一个0.78,一个0.69另外你建的模型中管路会对阻尼产生影响
回复

使用道具 举报

  • 打卡等级:偶尔看看
  • 打卡总天数:105
  • 打卡总奖励:414
 楼主| 发表于 2016-8-4 20:33:41 | 显示全部楼层
Henson 发表于 2016-8-4 19:44
流量系数一个0.78,一个0.69另外你建的模型中管路会对阻尼产生影响

我是按照上面的公式套单位的,数值是按照AMESim中显示的参数计算的,还有那个管路虽然会有影响,但是我计算的时候考虑的仅仅是阻尼孔两端的压差、流量和过流面积啊,管路应该对我的计算没影响吧
回复

使用道具 举报

发表于 2016-8-6 13:14:40 | 显示全部楼层
xlykko 发表于 2016-8-4 20:33
我是按照上面的公式套单位的,数值是按照AMESim中显示的参数计算的,还有那个管路虽然会有影响,但是我计 ...

amesim中节流孔流量计算公式用的是eqarea,和你前边给出公式的有所不同
回复

使用道具 举报

发表于 2016-8-6 13:23:20 | 显示全部楼层
xlykko 发表于 2016-8-4 20:33
我是按照上面的公式套单位的,数值是按照AMESim中显示的参数计算的,还有那个管路虽然会有影响,但是我计 ...

如果你指定的是孔径和流量系数,则计算公式是orif3f,你手算和仿真出来的差别有多大,是以2口的压力为衡量标准么
回复

使用道具 举报

  • 打卡等级:偶尔看看
  • 打卡总天数:105
  • 打卡总奖励:414
 楼主| 发表于 2016-8-8 11:28:25 | 显示全部楼层
Henson 发表于 2016-8-6 13:14
amesim中节流孔流量计算公式用的是eqarea,和你前边给出公式的有所不同

不一样?不是cross sectional area 么?
回复

使用道具 举报

  • 打卡等级:偶尔看看
  • 打卡总天数:105
  • 打卡总奖励:414
 楼主| 发表于 2016-8-8 11:36:15 | 显示全部楼层
Henson 发表于 2016-8-6 13:23
如果你指定的是孔径和流量系数,则计算公式是orif3f,你手算和仿真出来的差别有多大,是以2口的压力为衡 ...

我用的是流量。如果按照上面的参数计算,得出的结果大约是实际流量的1.6倍。
orif3f的计算公式好像和那个公式没啥区别吧,最大的不同在于相对密度,这个相对的相对的那个呢,不懂

orif3f

orif3f
回复

使用道具 举报

发表于 2016-8-9 11:21:30 | 显示全部楼层
xlykko 发表于 2016-8-8 11:36
我用的是流量。如果按照上面的参数计算,得出的结果大约是实际流量的1.6倍。
orif3f的计算公式好像和那 ...

我弄得仿真和手算结果在小数点后两位才开始有差别,你的手算公式单位取的对不?建议好好梳理下单位,如果再不对,俺不晓得
回复

使用道具 举报

  • 打卡等级:偶尔看看
  • 打卡总天数:105
  • 打卡总奖励:414
 楼主| 发表于 2016-8-9 11:54:05 | 显示全部楼层
Henson 发表于 2016-8-9 11:21
我弄得仿真和手算结果在小数点后两位才开始有差别,你的手算公式单位取的对不?建议好好梳理下单位,如果 ...

真的成功了?
那你可不可以帮我看看我的错在哪了,拜托了

我的计算

我的计算
回复

使用道具 举报

发表于 2016-8-9 17:48:37 | 显示全部楼层
xlykko 发表于 2016-8-9 11:54
真的成功了?
那你可不可以帮我看看我的错在哪了,拜托了

我觉得你单位换算不对,压力用pa,面积米平方,密度kg/m3,得出流量是m3/s,然后再换算成lpm,再,试试?
回复

使用道具 举报

您需要登录后才可以回帖 登录 | 立即注册

本版积分规则