搜索
金币充值液压资料下载官方微信群
查看: 4647|回复: 3

关于PID

[复制链接]
  • 打卡等级:无名新人
  • 打卡总天数:1
  • 打卡总奖励:8
发表于 2013-5-15 10:55:26 | 显示全部楼层 |阅读模式
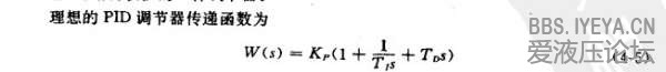
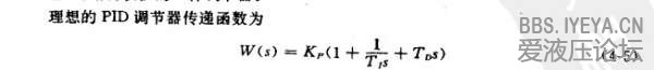
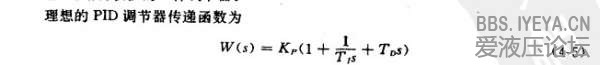
    在看电液比例阀中碰到一些关于PID的问题,理想PID 调节器的传递函数如图所示,实际的PID调节器传递函数书中也给出了,可是我不明白是怎么得到的,差别怎么那么大呢?在文中出现积分作用呈饱和特性,什么是积分作用的饱和特性呢?达到饱和特性会有什么好处么?那关于微分的饱和特性又是什么呢?不明白,刚刚接触这方面的东西。需要高手给指点一下啊!谢谢啦!期待高手中..........
理想PID.jpg
实际PID.jpg
  • 打卡等级:无名新人
  • 打卡总天数:1
  • 打卡总奖励:8
 楼主| 发表于 2013-5-17 14:09:11 | 显示全部楼层
期待高手中!!!
回复

使用道具 举报

  • 打卡等级:初来乍到
  • 打卡总天数:31
  • 打卡总奖励:75
发表于 2013-5-18 23:36:40 | 显示全部楼层
不必深究,要是这是你老师的笔记,为了毕业,死背吧。反正这些东西都是纸上谈兵。
市场有的是现成的控制系统,用的是普通的PID。
P - 增益,
I - 可选切入及切出式积分,
D - 多用于比例方向阀的应用,
其他的有:位置相关煞车、前馈控制、预判输出、死区补偿、最低讯号输出、位置/压力切换控制、状态反馈等等
回复

使用道具 举报

  • 打卡等级:无名新人
  • 打卡总天数:1
  • 打卡总奖励:8
 楼主| 发表于 2013-5-19 14:50:16 | 显示全部楼层
游勇 发表于 2013-5-18 23:36
不必深究,要是这是你老师的笔记,为了毕业,死背吧。反正这些东西都是纸上谈兵。
市场有的是现成的控制系 ...

好的,谢谢啊!
回复

使用道具 举报

您需要登录后才可以回帖 登录 | 立即注册

本版积分规则