设为首页
收藏本站
所有帖子
关于我们
联系我们
微信群
开启辅助访问
搜索
搜索
本版
用户
门户
Portal
资讯
液压资讯
观点
观点
产品
液压产品
技术
液压技术
合集
导读
Guide
下载
签到
金币
论坛
BBS
登录
立即注册
腾讯QQ
账号
自动登录
找回密码
密码
登录
立即注册
只需一步,快速开始
好友
动态
收藏
分享
帖子
日志
记录
相册
留言板
勋章
任务
道具
设置
退出
液压圈
»
论坛
›
液压系统
›
AMESim
›
can仿真
负载敏感资料下载
|
液压培训资料下载
|
液压样本下载
|
AMESim资料下载
|
力士乐资料下载
|
挖掘机资料下载
|
标准资料下载
|
多路阀资料下载
返回列表
查看:
3195
|
回复:
0
can仿真
[复制链接]
haha123
haha123
当前离线
积分
18
注册时间
2016-1-11
最后登录
1970-1-1
IP卡
狗仔卡
发表于 2016-3-21 21:50:44
|
显示全部楼层
|
阅读模式
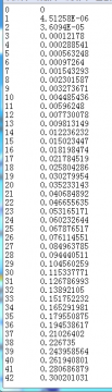
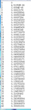
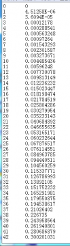
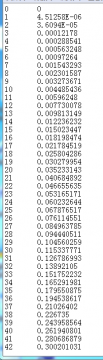
各位大神 请教一下 仿真凸轮时总是这种错误 附图是部分data数据 请教怎么改
AMESIM
can仿真
can仿真
can仿真
can仿真
相关帖子
.
请问有没有大佬指导小弟怎么在AMESIM做电磁阀仿真
.
AMESim2024汉化教程,亲测可用!
.
amesim14建立柱塞泵模型
.
求教!!!
.
Amesim液压库帮助文件中文翻译
.
Amesim 2310软件下载
.
求助!这个灰色元件是什么,找了好久没有看到这个
.
AMEsim 位移量变角度量中间应该加什么
.
关于Amesim与matlab联合仿真,迭代无法终止
.
请问我想在AMESim上模拟电液伺服阀的阀芯磨损故障该怎末做
回复
使用道具
举报
提升卡
置顶卡
变色卡
返回列表
高级模式
B
Color
Image
Link
Quote
Code
Smilies
您需要登录后才可以回帖
登录
|
立即注册
本版积分规则
发表回复
回帖后跳转到最后一页
浏览过的版块
资料下载
液压技术
供求信息
快速回复
返回顶部
返回列表