搜索
金币充值液压资料下载官方微信群
查看: 1304|回复: 9

豆包AI做液压传动系统设计——看来多种AI大模型都具备设计液压传动系统的能力

[复制链接]
  • 打卡等级:偶尔看看
  • 打卡总天数:121
  • 打卡总奖励:455
发表于 2025-2-17 22:01:52 | 显示全部楼层 |阅读模式
豆包设计液压传动系统.png

一个大学生《液压与气压传动》课程设计题目:

请设计一台专用铣床动力滑台的液压传动系统,切削负载力53kN,工作台重量为8000N,工件和夹具最大重量为800N, 工作台行程为500mm(快进350mm,工进150mm),快进与快退速度为100mm/s,工进速度为10~20mm/s,往返加速、减速时间为0.2s,工作台用平导轨,静摩擦系数0.2,动摩擦系数0.1。液压缸机械效率0.9。 工序过程:快进——工进——快退。请根据我的要求,定义产品方案,并根据确定主要尺寸,并进行主要器件选型,计算成本。

下面是  豆包AI   给出的设计

以下是专用铣床动力滑台液压传动系统的详细设计过程:

以下是专用铣床动力滑台液压传动系统的详细设计过程:
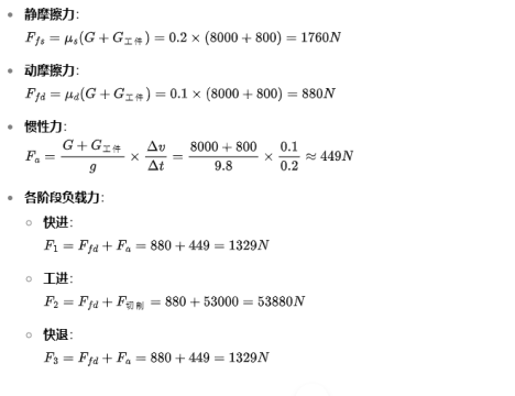
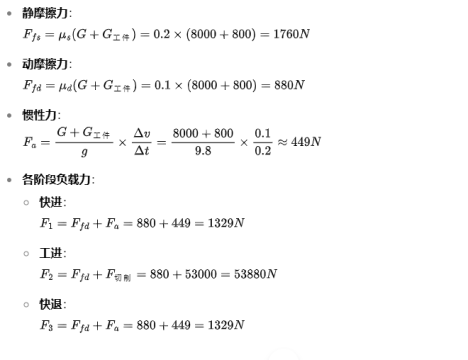
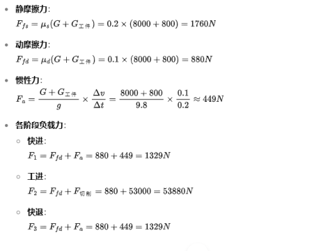
1. 负载分析

D01.png

2. 确定液压缸主要尺寸

D02.png
 
3. 计算液压缸工作腔面积

D03.png
 
4. 计算液压缸所需流量

D04.png
 
5. 液压系统方案设计

供油方式:采用限压式变量叶片供油,以满足快进和工进不同流量需求。
调速方式:工进采用节流调速,可选用调速阀实现稳定的调速。
换向方式:采用电磁换向阀实现液压缸的换向。

6. 主要器件选型

D06.png
 

7. 成本计算

液压泵:YB - 40 限压式变量叶片泵价格约 1500 元。
电磁换向阀:4WE6E 电磁换向阀价格约 800 元。
调速阀:Q - 10B 调速阀价格约 300 元。
液压缸:定制液压缸价格约 2000 元。
其他元件(油管、接头、过滤器等):约 1000 元。
总成本:1500+800+300+2000+1000=5600元。
产品方案总结




本专用铣床动力滑台液压传动系统采用限压式变量叶片泵供油,通过电磁换向阀实现液压缸的换向,工进采用调速阀节流调速。液压缸选用单活塞杆式,缸筒内径 125mm,活塞杆直径 90mm,行程 500mm。主要器件包括液压泵、电磁换向阀、调速阀和液压缸等,总成本约 5600 元。该系统能满足快进、工进和快退的工作要求,具有较好的经济性和可靠性。
回复

使用道具 举报

  • 打卡等级:无名新人
  • 打卡总天数:14
  • 打卡总奖励:14
发表于 2025-2-18 14:17:10 | 显示全部楼层
1. 产品方案定义
1.1 系统需求分析
切削负载力:53 kN

工作台重量:8000 N

工件和夹具最大重量:800 N

工作台行程:500 mm(快进350 mm,工进150 mm)

快进与快退速度:100 mm/s

工进速度:10~20 mm/s

加速、减速时间:0.2 s

静摩擦系数:0.2

动摩擦系数:0.1

液压缸机械效率:0.9

1.2 系统工作流程
快进:工作台快速前进350 mm,速度为100 mm/s。

工进:工作台以10~20 mm/s的速度进行切削,行程为150 mm。

快退:工作台快速退回500 mm,速度为100 mm/s。

2. 主要尺寸确定
2.1 液压缸尺寸计算
总负载力:切削负载力 + 工作台重量 + 工件和夹具重量 = 53 kN + 8 kN + 0.8 kN = 61.8 kN

液压缸所需推力:总负载力 / 机械效率 = 61.8 kN / 0.9 = 68.67 kN

液压缸直径:根据推力选择合适的液压缸直径,假设工作压力为10 MPa(100 bar),则液压缸面积 A = F / P = 68.67 kN / 10 MPa = 6867 mm²

液压缸直径:D = √(4A / π) = √(4 * 6867 / π) ≈ 93.5 mm,选择标准直径100 mm。

2.2 液压缸行程
行程:500 mm

2.3 液压泵流量计算
快进速度:100 mm/s

液压缸面积:A = π * (100 mm / 2)^2 = 7854 mm²

快进流量:Q = A * v = 7854 mm² * 100 mm/s = 785.4 L/min

工进速度:20 mm/s

工进流量:Q = 7854 mm² * 20 mm/s = 157.08 L/min

3. 主要器件选型
3.1 液压泵
流量:785.4 L/min(快进时)

压力:10 MPa

选型:选择变量泵,以适应快进和工进的不同流量需求。

3.2 液压缸
直径:100 mm

行程:500 mm

选型:标准双作用液压缸,带缓冲装置。

3.3 液压阀
方向控制阀:三位四通电磁换向阀,控制液压缸的前进、后退和停止。

流量控制阀:用于调节工进速度。

3.4 油箱
容量:根据系统流量和散热需求,选择适当容量的油箱。

3.5 过滤器
选型:高压过滤器,确保液压油清洁。

3.6 管路
选型:根据流量和压力选择合适的管路尺寸和材料。

4. 成本计算
4.1 液压泵
成本:约5000元

4.2 液压缸
成本:约3000元

4.3 液压阀
方向控制阀:约1000元

流量控制阀:约800元

4.4 油箱
成本:约1500元

4.5 过滤器
成本:约500元

4.6 管路
成本:约1000元

4.7 其他附件
成本:约1000元

4.8 总成本
总成本:5000 + 3000 + 1000 + 800 + 1500 + 500 + 1000 + 1000 = 13800元

5. 总结
设计了一台专用铣床动力滑台的液压传动系统,主要器件包括液压泵、液压缸、液压阀、油箱、过滤器和管路。总成本约为13800元。该系统能够满足快进、工进和快退的需求,并具有较高的机械效率和可靠性。

点评

后来看了,与Kimi做的一样  发表于 2025-2-19 11:24
用哪个AI做的呀,贴上工具,看起来更直接  发表于 2025-2-18 18:28
回复

使用道具 举报

  • 打卡等级:无名新人
  • 打卡总天数:14
  • 打卡总奖励:14
发表于 2025-2-19 11:14:18 | 显示全部楼层
心高气爽 发表于 2025-2-18 14:17
1. 产品方案定义
1.1 系统需求分析
切削负载力:53 kN

deepseek做的,与豆包做的进行对比,还是有差异的,还是要相信自己的专业能力,其他都是辅助工具
回复

使用道具 举报

  • 打卡等级:无名新人
  • 打卡总天数:23
  • 打卡总奖励:23
发表于 2026-1-22 10:27:49 | 显示全部楼层
基本的计算还是可以的

点评

不由得让我想起:2026年1月“液压与气压传动”考场上,那些面对试卷,呆呆坐着不能动笔的学生!!!!!!!  发表于 2026-1-23 10:07
这种情况就是类似下面情况:我们随便从上海、广州、北京的商圈人流密集处,随机挑选几个肉体人类出来,问他/她液压设计问题,给出上面设计题目,这个随机的他/她还真的动笔开始解答,并给出一些设计。惊奇不?   发表于 2026-1-23 10:05
2025年3月之前,没听说谁在训练AI液压设计,没听说谁在训练AI,提高液压这个专业领域的知识  发表于 2026-1-23 10:01
回复

使用道具 举报

  • 打卡等级:偶尔看看
  • 打卡总天数:121
  • 打卡总奖励:455
 楼主| 发表于 2026-1-23 10:11:14 | 显示全部楼层
lianqghg 发表于 2026-1-22 10:27
基本的计算还是可以的

可以得出:在2025年3月,AI已经通过了图灵测试,在液压这个专业领域。对吧
回复

使用道具 举报

您需要登录后才可以回帖 登录 | 立即注册

本版积分规则