搜索
汉力达液压金币充值官方微信群液压资料下载
查看: 9084|回复: 9

关于定压减压阀的问题

[复制链接]
发表于 2015-1-30 21:52:42 | 显示全部楼层 |阅读模式
如下建立定压减压阀:
其他参数不改变,只改变出口处的节流阀的开度。如开度为1和0.7.
我们知道定压减压阀的工作原理是根据出口处的压力与弹簧的作用力的平衡来决定的,出口压力越大、阀芯向右移动,阀口面积减小,导致出口压力减小,最后达到平衡。
我的问题是,当外部负载(图中的节流阀)不同时,节流阀开度变小,其入口的压力变大,也就是说减压阀的出口压力变大,即阀口面积变大。但是出口压力变大时,阀芯会向右移动,导致减压阀阀口面积变小。此处是否矛盾?纠结好久了,求解答。

关于定压减压阀的问题

关于定压减压阀的问题
发表于 2015-1-31 09:28:49 | 显示全部楼层
出口压力变大,即阀口面积变大,什么逻辑?
回复

使用道具 举报

 楼主| 发表于 2015-1-31 18:47:16 | 显示全部楼层
leizi520 发表于 2015-1-31 09:28
出口压力变大,即阀口面积变大,什么逻辑?

这是这个定压减压阀的工作原理
回复

使用道具 举报

发表于 2015-1-31 20:00:31 | 显示全部楼层
panxinforever 发表于 2015-1-31 18:47
这是这个定压减压阀的工作原理

不懂,你给详细说说定压原理吧。。
回复

使用道具 举报

  • 打卡等级:无名新人
  • 打卡总天数:1
  • 打卡总奖励:9
发表于 2015-1-31 20:22:46 | 显示全部楼层
谁家有可调的定差减压阀?流量几十升到一百升,最好是螺纹插装阀。
回复

使用道具 举报

发表于 2015-2-1 22:22:01 | 显示全部楼层
“节流阀开度变小,其入口的压力变大,也就是说减压阀的出口压力变大,即阀口面积变大”,这个你理解是有问题的,节流阀开度变小,起入口(即减压阀出口)压力变大,这个不假,但是这个这个入口压力基本上是个定值 ,因为它是减压阀的出口啊,与减压阀的弹簧力平衡啊!节流孔孔径变小,入口压力基本稳定,通流量小啊,那平衡阀的阀芯就趋于关小的状态啊
回复

使用道具 举报

发表于 2015-2-1 22:26:43 | 显示全部楼层
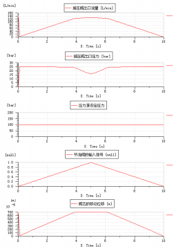
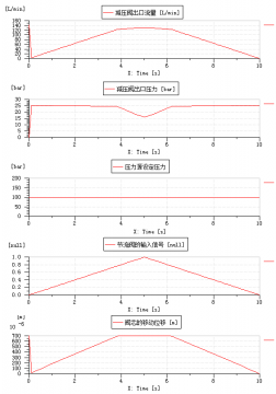
以上说的不严禁,只是帮助你理解,实际上导致加压阀阀口关小的原因还是它的出口压力增大了,说来说去,就是个力平衡的问题,这个才是硬道理!
1.jpg
回复

使用道具 举报

发表于 2015-2-1 22:28:26 | 显示全部楼层
液压虫子 发表于 2015-2-1 22:26
以上说的不严禁,只是帮助你理解,实际上导致加压阀阀口关小的原因还是它的出口压力增大了,说来说去,就是 ...

红色为减压阀出口压力,蓝色为节流阀阀口面积
回复

使用道具 举报

发表于 2015-2-1 22:28:27 | 显示全部楼层
液压虫子 发表于 2015-2-1 22:26
以上说的不严禁,只是帮助你理解,实际上导致加压阀阀口关小的原因还是它的出口压力增大了,说来说去,就是 ...

红色为减压阀出口压力,蓝色为节流阀阀口面积
回复

使用道具 举报

发表于 2015-2-2 14:22:07 | 显示全部楼层
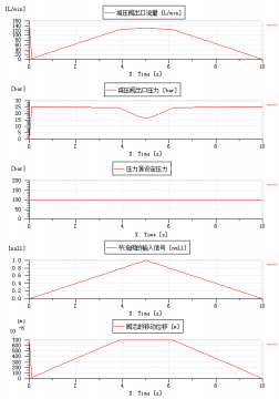
减压阀原理.png
回复

使用道具 举报

您需要登录后才可以回帖 登录 | 立即注册

本版积分规则