设为首页
收藏本站
所有帖子
关于我们
联系我们
微信群
开启辅助访问
搜索
搜索
本版
用户
门户
Portal
资讯
液压资讯
观点
观点
产品
液压产品
技术
液压技术
合集
导读
Guide
下载
签到
金币
论坛
BBS
登录
立即注册
腾讯QQ
账号
自动登录
找回密码
密码
登录
立即注册
只需一步,快速开始
我的
日志
记录
收藏
勋章
任务
道具
动态
设置
退出
液压圈
»
论坛
›
液压系统
›
液压技术
›
小孔节流器流量计算
负载敏感资料下载
|
液压培训资料下载
|
液压样本下载
|
AMESim资料下载
|
力士乐资料下载
|
挖掘机资料下载
|
标准资料下载
|
多路阀资料下载
返回列表
查看:
9135
|
回复:
5
小孔节流器流量计算
[复制链接]
jianxinhaijuan
jianxinhaijuan
当前离线
积分
33
注册时间
2016-6-26
最后登录
1970-1-1
IP卡
狗仔卡
打卡等级:无名新人
打卡总天数:21
打卡总奖励:70
发表于 2016-9-30 21:37:54
|
显示全部楼层
|
阅读模式
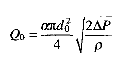
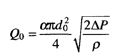
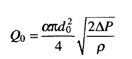
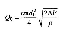
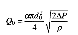
手册上计算小孔节流器流量,有个粘度系数,请教如何选取?根据液体种类?粘度?温度?还是什么?公式如下图所示
流量
小孔节流器流量公式
相关帖子
.
川崎20T级挖掘机负流量液压系统原理图
.
流量控制
.
急需一款高流量、高频往复的变量泵!!!
.
力士乐流量阀fk,fg
.
全液压转向系统中流量放大器的匹配选型。
.
请教卸荷溢流阀流量问题
.
关于阻尼器中液压阀流量的问题
.
AMEsim建模仿真问题请教
.
一张图分清正流量负流量负载敏感系统
.
系统震动和噪声
回复
使用道具
举报
提升卡
置顶卡
变色卡
zhangweiwei
zhangweiwei
当前离线
积分
59
注册时间
2014-8-23
最后登录
1970-1-1
IP卡
狗仔卡
打卡等级:无名新人
打卡总天数:1
打卡总奖励:4
发表于 2016-10-1 16:02:06
|
显示全部楼层
这个公式中哪项是粘度?
回复
使用道具
举报
jianxinhaijuan
jianxinhaijuan
当前离线
积分
33
注册时间
2016-6-26
最后登录
1970-1-1
IP卡
狗仔卡
打卡等级:无名新人
打卡总天数:21
打卡总奖励:70
楼主
|
发表于 2016-10-1 22:31:58
|
显示全部楼层
α 是粘度系数,就是这个系数不知道如何选择
回复
使用道具
举报
zhangweiwei
zhangweiwei
当前离线
积分
59
注册时间
2014-8-23
最后登录
1970-1-1
IP卡
狗仔卡
打卡等级:无名新人
打卡总天数:1
打卡总奖励:4
发表于 2016-10-1 23:32:03
|
显示全部楼层
不知你是从哪本书里看到的,流量和压力成根号次方,应该是紊流,与粘度无关的,a应该是流量系数。
回复
使用道具
举报
duanran
duanran
当前离线
积分
173
注册时间
2016-9-8
最后登录
1970-1-1
IP卡
狗仔卡
打卡等级:即来则安
打卡总天数:220
打卡总奖励:642
发表于 2016-10-2 13:42:10
|
显示全部楼层
根据所使用的介质,介质供应商会有系数方面的数据。
回复
使用道具
举报
hhytai
hhytai
当前离线
积分
7
注册时间
2016-11-22
最后登录
1970-1-1
IP卡
狗仔卡
发表于 2016-12-3 15:06:50
|
显示全部楼层
流量係數 0.6
粘度980
回复
使用道具
举报
返回列表
高级模式
B
Color
Image
Link
Quote
Code
Smilies
您需要登录后才可以回帖
登录
|
立即注册
本版积分规则
发表回复
回帖后跳转到最后一页
浏览过的版块
AMESim
资料下载
求职招聘
公告区
快速回复
返回顶部
返回列表