搜索
汉力达液压金币充值官方微信群液压资料下载
查看: 18581|回复: 32

伺服阀传递函数中的三个近似公式中的流量增益KSV?

    [复制链接]
  • 打卡等级:无名新人
  • 打卡总天数:14
  • 打卡总奖励:14
发表于 2015-12-8 12:46:16 | 显示全部楼层 |阅读模式
伺服阀传递函数,根据伺服阀的频宽和液压固有频率的频宽之间的比较,得出三个不同的近似公式,但都包含了流量增益Ksv,请问伺服阀传递函数无论如何简化,其中流量增益Ksv是相等的,对吗?
  • 打卡等级:无名新人
  • 打卡总天数:14
  • 打卡总奖励:14
 楼主| 发表于 2015-12-8 12:47:33 | 显示全部楼层
提交帖子,怎么多了个[size=14.3999996185303px]
回复

使用道具 举报

  • 打卡等级:即来则安
  • 打卡总天数:206
  • 打卡总奖励:631
发表于 2015-12-8 20:15:42 | 显示全部楼层
mark一记,好久不见游总,期待游总的回复!!!
回复

使用道具 举报

  • 打卡等级:偶尔看看
  • 打卡总天数:144
  • 打卡总奖励:704
发表于 2015-12-8 21:26:07 | 显示全部楼层
阀不同,流量增益也不同。
回复

使用道具 举报

  • 打卡等级:无名新人
  • 打卡总天数:14
  • 打卡总奖励:14
 楼主| 发表于 2015-12-8 23:55:13 | 显示全部楼层
三个不同的近似公式如图

回复

使用道具 举报

  • 打卡等级:偶尔看看
  • 打卡总天数:107
  • 打卡总奖励:321
发表于 2015-12-9 01:03:50 | 显示全部楼层
Ksv是相同的所有3传输功能。
你知道如何计算Ksv?
回复

使用道具 举报

  • 打卡等级:无名新人
  • 打卡总天数:14
  • 打卡总奖励:14
 楼主| 发表于 2015-12-9 21:16:16 | 显示全部楼层
本帖最后由 scgbb 于 2015-12-9 21:46 编辑
PEN 发表于 2015-12-9 01:03
Ksv是相同的所有3传输功能。
你知道如何计算Ksv?

Ksv的计算公式如下:请教Pen先生:下述公式对吗?




2015-12-09_215119.png
回复

使用道具 举报

  • 打卡等级:无名新人
  • 打卡总天数:14
  • 打卡总奖励:14
 楼主| 发表于 2015-12-9 22:00:52 | 显示全部楼层
书本上常用的公式如下:

回复

使用道具 举报

  • 打卡等级:偶尔看看
  • 打卡总天数:107
  • 打卡总奖励:321
发表于 2015-12-10 08:49:55 | 显示全部楼层
我需要知道这些公式在原文中是怎样和上下文贯穿联系起来的,为什么公式中几处用到了数字“2”?这看起来似乎不太对,需要解释。

我使用如下方法来计算阀的流量系数: 用的是博世811-404-803 NG10伺服电磁阀,型号为4WRPEH10C4B100L-2X/ G24K0/ A1M(新的博世力士乐部件号)。这里是制造厂商提供的阀的参数: 当跨越每个阀芯边缘的压降是35巴时,它的额定流量为每分钟100立升。

计算中容易困扰的部分是它的单位奇异,因而在保持单位正确方面可能会出错。为此,我下面推荐一个计算Kv的更简单、更直观的方法(见附图)。

评分

参与人数 1金钱 +10 收起 理由
泛舟 + 10 很给力!

查看全部评分

回复

使用道具 举报

  • 打卡等级:无名新人
  • 打卡总天数:14
  • 打卡总奖励:14
 楼主| 发表于 2015-12-10 23:37:24 | 显示全部楼层
本帖最后由 scgbb 于 2015-12-10 23:38 编辑
PEN 发表于 2015-12-10 08:49
我需要知道这些公式在原文中是怎样和上下文贯穿联系起来的,为什么公式中几处用到了数字“2”?这看起来似 ...

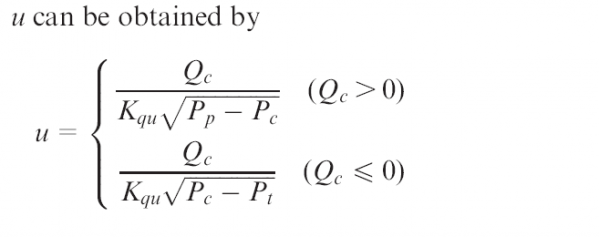
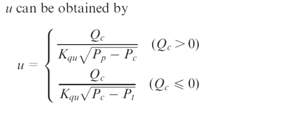
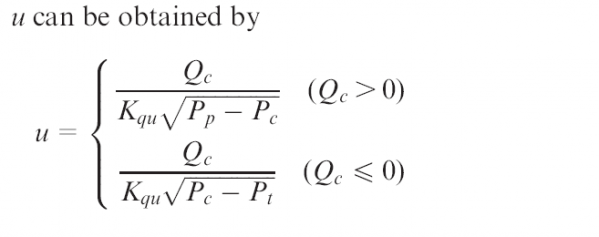
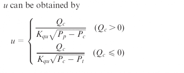
上述公式可否像如下公式进行推导,最终实现伺服阀的控制输入U。
where Ku is a positive constant and u is the servo valve command voltage. Defining Kqu=KqKu and combining
equations, the valve command voltageu can be obtained by



2015-12-10_233944.png
2015-12-10_234002.png
回复

使用道具 举报

您需要登录后才可以回帖 登录 | 立即注册

本版积分规则