搜索
汉力达液压金币充值官方微信群液压资料下载
楼主: 泛舟

伺服阀传递函数中的三个近似公式中的流量增益KSV?

    [复制链接]
  • 打卡等级:偶尔看看
  • 打卡总天数:107
  • 打卡总奖励:321
发表于 2015-12-11 07:32:43 | 显示全部楼层
第一个公式没有什么实际应用价值。我从来不用期望流量来计算控制输出,而是用目标和实际位置之间的误差、以及前馈来计算控制输出。

第二组公式是正确的,也是我使用的。多数情况下我会假设Xv = Ku*U。然而在为客户做模拟时,我使用液压阀生产厂家提供的波德图(Bode Plot)中的固有频率和阻尼因子来建模阀芯的加速度、速度和位置。我也使用龙格 - 库塔(Runge-Kutta)或状态空间来模拟阀芯位置和速度。

我通常会使用Mathcad软件来做模拟。

Mathcad - Hydraulic Cylinder 3-10.pdf

150.96 KB, 下载次数: 47

售价: 5 金钱  [记录]

评分

参与人数 1金钱 +10 收起 理由
泛舟 + 10 赞一个!

查看全部评分

回复

使用道具 举报

  • 打卡等级:无名新人
  • 打卡总天数:14
  • 打卡总奖励:14
 楼主| 发表于 2015-12-11 11:32:01 | 显示全部楼层
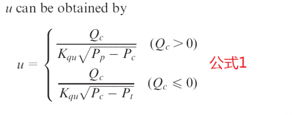
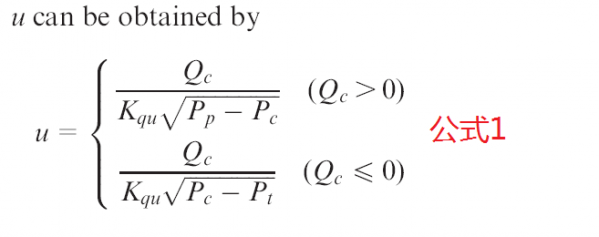
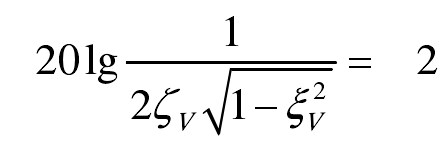
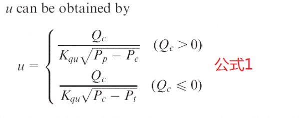
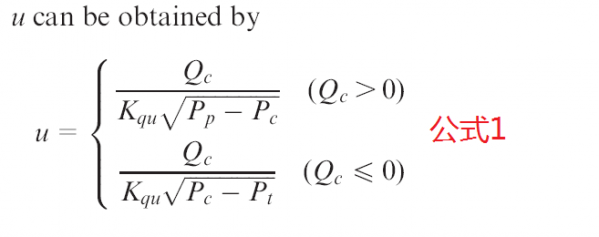
第一个公式指的是公式1吗?第二组公式指的是公式2和3吗?

由公式2和3推导出公式1

如果公式2和3是正确的,公式1也是正确的,从公式1,可以推导出伺服阀的控制电压U

回复

使用道具 举报

  • 打卡等级:无名新人
  • 打卡总天数:14
  • 打卡总奖励:14
 楼主| 发表于 2015-12-11 12:12:12 | 显示全部楼层
PEN 发表于 2015-12-11 07:32
第一个公式没有什么实际应用价值。我从来不用期望流量来计算控制输出,而是用目标和实际位置之间的误差、以 ...

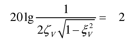
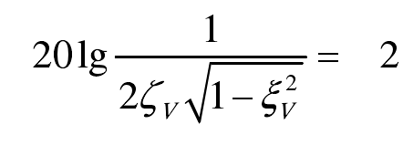
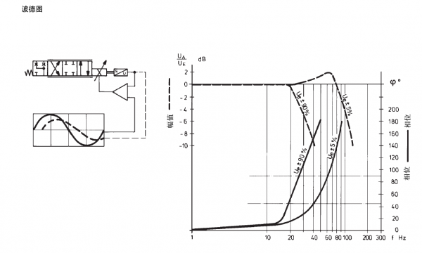
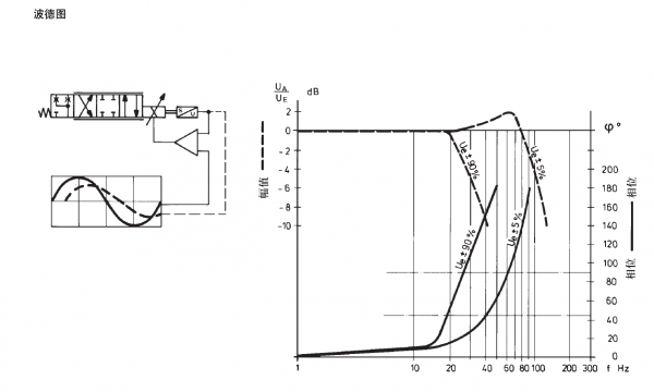
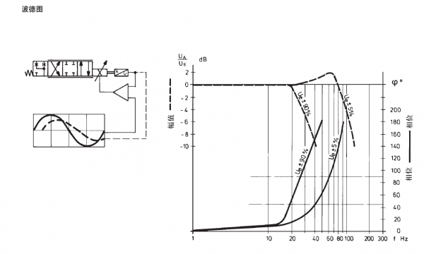
液压阀生产厂家提供的波德图Bode Plot)中的固有频率和阻尼因子,以4WRPEH10C4B100L的伯德图为例,只有5%的信号幅值图有阻尼因子,根据阻尼因子计算公式(如图所示)计算出阻尼,该阻尼因子计算公式,对吗?

4WRPEH10C4B100L的伯德图.png
2015-12-11_121555.png
回复

使用道具 举报

  • 打卡等级:偶尔看看
  • 打卡总天数:107
  • 打卡总奖励:321
发表于 2015-12-12 07:18:46 | 显示全部楼层
#12帖子里的公式1看起来对,但是控制信号u应该由液压致动器的目标位置和实际位置之间的误差和前馈来进行计算,而不是由所需的流量。
如果不同意,请解释公式1是如何控制运动。你的参考书应提供这样的例子。
回复

使用道具 举报

  • 打卡等级:偶尔看看
  • 打卡总天数:107
  • 打卡总奖励:321
发表于 2015-12-12 08:30:03 | 显示全部楼层
通过波德图很容易看到,真实的阀不具有恒定的阻尼因子。原因有两个:
1.用来移动阀芯的能量数值有限,它决定了阀的速度不可能超过某个速度限制。当阀芯的来回移动只有5%,速度不会超过限制;但是当阀芯的移动接近全行程时,则能够达到速度限制。在我的模拟当中没有设置极限速度,其实是应该设置的。
2.真正的传递函数不是 ω^2/(S^2+2*ζ*ω* S+ω^2)。用拉普拉斯变换是不可能精确模拟阀芯运动的。这就是为什么我要使用龙格-库塔(Runge-Kutta)的原因。非线性系统可以用差分方程和龙格-库塔进行建模和模拟。
root(-20*log(2*ζ*sqrt(1- ζ^2)-2, ζ)=0.443   ζ=0.443

随着阻尼系数改变,阻尼之后的振荡频率也会变化。
ωd=ω*sqrt(1- ζ^2)
回复

使用道具 举报

  • 打卡等级:无名新人
  • 打卡总天数:14
  • 打卡总奖励:14
 楼主| 发表于 2015-12-12 11:47:38 | 显示全部楼层
本帖最后由 scgbb 于 2015-12-12 19:30 编辑
PEN 发表于 2015-12-12 07:18
#12帖子里的公式1看起来对,但是控制信号u应该由液压致动器的目标位置和实际位置之间的误差和前馈来进行计 ...

控制信号u是通过反步法(backstepping)递推出的最终控制器输出U
回复

使用道具 举报

  • 打卡等级:无名新人
  • 打卡总天数:14
  • 打卡总奖励:14
 楼主| 发表于 2015-12-12 22:45:06 | 显示全部楼层
PEN 发表于 2015-12-12 07:18
#12帖子里的公式1看起来对,但是控制信号u应该由液压致动器的目标位置和实际位置之间的误差和前馈来进行计 ...

Advanced Motion Control: From Classical PID to Nonlinear Adaptive Robust Control
没有看明白两种控制器U之间的关系
2015-12-12_224740.png
2015-12-12_224447.png
2015-12-12_224521.png

From classical PID to nonlinear adaptive robust control.pdf

969.65 KB, 下载次数: 19

售价: 5 金钱  [记录]

回复

使用道具 举报

  • 打卡等级:偶尔看看
  • 打卡总天数:107
  • 打卡总奖励:321
发表于 2015-12-13 00:55:18 | 显示全部楼层
配方#1是不实际的运动控制。
通常不知道Pp和Pc
通常只知道反馈位置
你需要展示如何式#1是在实际应用中非常有用。
回复

使用道具 举报

  • 打卡等级:无名新人
  • 打卡总天数:14
  • 打卡总奖励:14
 楼主| 发表于 2015-12-13 22:14:40 | 显示全部楼层
PEN 发表于 2015-12-13 00:55
配方#1是不实际的运动控制。
通常不知道Pp和Pc
通常只知道反馈位置

公式推导参照论文 Desired Compensation Adaptive Robust Control of Single-rod Electro-hydraulic Actuator

2015-12-13_221802.png

Desired_Compensation_Adaptive_Robust_Control_of_Single-rod_Electro-hydraulic_Act.pdf

199.48 KB, 下载次数: 20

售价: 5 金钱  [记录]

回复

使用道具 举报

  • 打卡等级:偶尔看看
  • 打卡总天数:107
  • 打卡总奖励:321
发表于 2015-12-15 08:48:37 | 显示全部楼层
我还没有见过由机器制造商提供的传递函数。

公式1和公式26里u的定义是不相同的。似乎公式26不依赖于目标位置和实际位置之间的误差来做计算,那它如何工作?还有在图6和图3中的所有变量值是从哪里得到的?没有这些变量值,姚斌博士的模型恐怕无法工作。学术和控制理论书籍中的经常遇到的问题是,书里使用的模型和例题往往假设某个模型是已知的,但这并不是工业界的实际情况。

以下链接的一段视频显示,用自动优化工具能够很方便地调试伺服电机或液压执行机构。液压执行器的建模要求它在两个方向上运动,以采得模型所需要的变量值。简单地说,电机和负载的传递函数只是一个增益和一个时间常数, K /(t * s + 1)。

http://deltamotion.com/peter/Videos/AutoTuneTest2.mp4 (视频约2分钟)。

使用自动优化工具之后,增益和时间常数成为已知量,就很容易计算出其他增益和前馈的数值。同样的方法也适用于液压系统。
回复

使用道具 举报

您需要登录后才可以回帖 登录 | 立即注册

本版积分规则