设为首页
收藏本站
所有帖子
关于我们
联系我们
微信群
开启辅助访问
搜索
搜索
本版
用户
门户
Portal
资讯
液压资讯
观点
观点
产品
液压产品
技术
液压技术
合集
导读
Guide
下载
签到
金币
论坛
BBS
登录
立即注册
腾讯QQ
账号
自动登录
找回密码
密码
登录
立即注册
只需一步,快速开始
好友
动态
收藏
分享
帖子
日志
记录
相册
留言板
勋章
任务
道具
设置
退出
液压圈
»
论坛
›
液压系统
›
液压技术
›
节流阀公式推导
负载敏感资料下载
|
液压培训资料下载
|
液压样本下载
|
AMESim资料下载
|
力士乐资料下载
|
挖掘机资料下载
|
标准资料下载
|
多路阀资料下载
返回列表
查看:
6283
|
回复:
2
节流阀公式推导
[复制链接]
神灵武士
神灵武士
当前离线
积分
69
注册时间
2016-9-18
最后登录
1970-1-1
IP卡
狗仔卡
发表于 2017-3-9 16:45:17
|
显示全部楼层
|
阅读模式
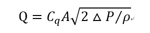
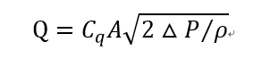
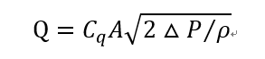
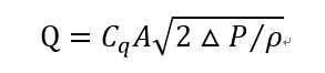
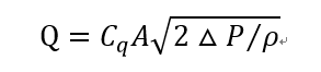
各位,这个节流阀公式是如何推导出来的。
节流阀
节流阀公式推导
相关帖子
.
双向节流阀,新人求教!!
.
学生请教大神们设计一液压脉动控制节流阀
.
请教各位,图中2个溢流阀并联,中间加个节流阀,是想起什么作用?
.
并联节流阀建模
.
两个双单向节流阀叠加使用
.
单向节流阀是否能解决我的疑惑
.
平衡阀与单向节流阀
.
减压阀和节流阀工作原理的区别
.
节流阀出口压力的问题
.
节流阀作阻尼孔来消耗能量
回复
使用道具
举报
提升卡
置顶卡
变色卡
changtongli
changtongli
当前离线
积分
506
注册时间
2014-10-14
最后登录
1970-1-1
IP卡
狗仔卡
打卡等级:偶尔看看
打卡总天数:114
打卡总奖励:448
发表于 2017-3-9 18:54:06
|
显示全部楼层
伯努利方程,参考液压教材,任何一本
回复
使用道具
举报
神灵武士
神灵武士
当前离线
积分
69
注册时间
2016-9-18
最后登录
1970-1-1
IP卡
狗仔卡
楼主
|
发表于 2017-3-10 15:18:36
|
显示全部楼层
changtongli 发表于 2017-3-9 18:54
伯努利方程,参考液压教材,任何一本
好,谢谢
回复
使用道具
举报
返回列表
高级模式
B
Color
Image
Link
Quote
Code
Smilies
您需要登录后才可以回帖
登录
|
立即注册
本版积分规则
发表回复
回帖后跳转到最后一页
浏览过的版块
AMESim
资料下载
公告区
求职招聘
快速回复
返回顶部
返回列表