搜索
汉力达液压金币充值官方微信群液压资料下载
查看: 4447|回复: 4

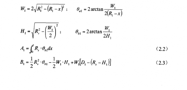
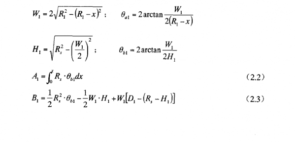
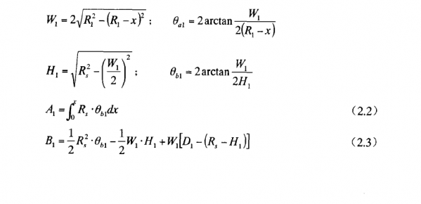
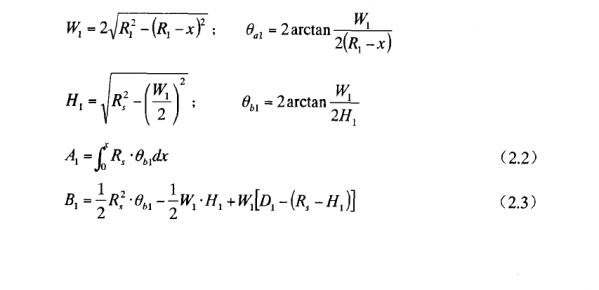
求帮助,一篇论文中关于优先阀的CF油口处节流面积算法看不懂。

[复制链接]
发表于 2014-6-7 16:22:25 | 显示全部楼层 |阅读模式

1

1

2

2

3

3

4

4
  • 打卡等级:论坛老炮
  • 打卡总天数:1044
  • 打卡总奖励:2951
发表于 2014-6-7 20:22:17 | 显示全部楼层
算法不错,请参考浙江大学翼宏博士的相关论文,实际上就是分段函数,求面积而已
回复

使用道具 举报

 楼主| 发表于 2014-6-8 18:01:02 | 显示全部楼层
nflzhang 发表于 2014-6-7 20:22
算法不错,请参考浙江大学翼宏博士的相关论文,实际上就是分段函数,求面积而已

分段函数第二段,就是不太理解A2,A3的面积究竟是什么
回复

使用道具 举报

 楼主| 发表于 2014-6-8 18:07:56 | 显示全部楼层
nflzhang 发表于 2014-6-7 20:22
算法不错,请参考浙江大学翼宏博士的相关论文,实际上就是分段函数,求面积而已

a.png
b.png
根据公式完全不理解,A2,A3,B2,B3究竟是图上什么地方.方便的话可以给个QQ联系指点么
回复

使用道具 举报

 楼主| 发表于 2014-6-8 18:46:22 | 显示全部楼层
nflzhang 发表于 2014-6-7 20:22
算法不错,请参考浙江大学翼宏博士的相关论文,实际上就是分段函数,求面积而已

我QQ626006230,加一下好么
回复

使用道具 举报

您需要登录后才可以回帖 登录 | 立即注册

本版积分规则